Технические эксперты подберут оптимальное решение под ваши задачи. Обращайтесь! Телефон: +7-495-514-00-10 E-mail: info@compuway.ru

Купить
Топология
BX800CI-RS представляет из себя линейно-интерактивный (line-interactive) источник бесперебойного электропитания — обеспечивает стабилизацию напряжения на выходе за счет наличия автоматического регулятора напряжения (AVR), частота при этом не изменяется.
Отличительные особенности модели
Из опций, обеспечивающих удобство работы с ИБП, имеются следующие:
- автоматическая регулировка напряжения — встроенный стабилизатор (AVR)
- звуковые сигналы — уведомление об изменениях сетевого электропитания и условий работы
- постоянно действующий многополюсный шумовой фильтр
- встроенный тест работоспособности — регулярная самодиагностика батарей
- холодный старт — возможность включения ИБП при отсутствии напряжения на его входе
- автоматический многоразовый предохранитель
- управление электропитанием компьютера (автоматическое завершение работы) — связь с ПК через USB
Технические характеристики
Для подключения к сети электропитания имеется шнур длиной 1,16 метра, оконцованный разъемом типа Schuko CEE 7/7P (евровилка). Остальные входные данные такие: 
- номинальное напряжение — 230 В
- частота — 50/60 Гц +/- 3 Гц (автоматическое определение)
- диапазон напряжения при работе от сети — 150 — 280 В
- максимальный ток — 3.0 A
Характеристики на выходе:
- мощность — 480 Ватт / 800 ВА
- номинальное напряжение — 230V
- частота, синхронизированная с электросетью — 50/60Hz +/- 3 Hz
- частота, не синхронизированная с электросетью — 50/60 Hz +/-1 Hz
- время переключения — 8 ms typical, 12 ms maximum
- тип формы напряжения — ступенчатая аппроксимация синусоиды
В плане выходной защиты имеется:
- (4) Schuko CEE 7 (евророзетка) — батарейное резервное питание
- RJ-11 — защита телефона/факса/модема/DSL
Батарейное резервирование
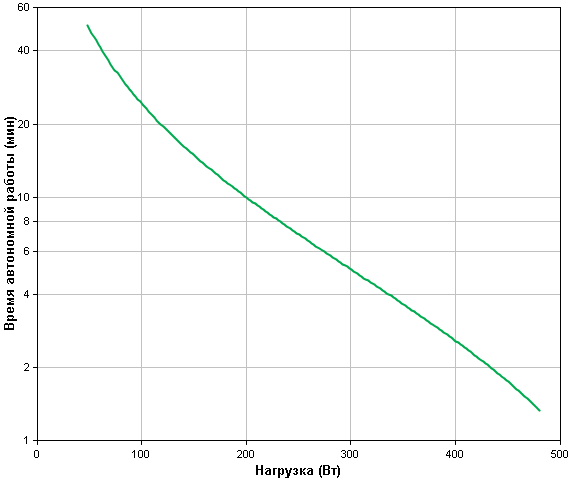
BX800CI-RS имеет один сменный аккумулятор — RBC17. Тип батареи — необслуживаемая герметичная свинцово-кислотная с загущенным электролитом и защитой от утечек. Время автономной работы в зависимости от нагрузки представим графиком ниже.

Физические размеры
Суммарные габариты «высота x ширина x глубина» — 215 x 130 x 336 мм.
Back-UPS BX800CI-RS представляет из себя источник бесперебойного электропитания со встроенным стабилизатором напряжения (AVR), защитой телефонной линии и возможностью корректного завершения работы персонального компьютера в случае отключения электричества. Если вы искали именно такой ИБП — обращайтесь!