Технические эксперты подберут оптимальное решение под ваши задачи. Обращайтесь! Телефон: +7-495-514-00-10 E-mail: info@compuway.ru

Форм-фактор
Smart-UPS On-Line SRT10KXLI — это источник бесперебойного электропитания напольного исполнения, идущий в комплекте со съемными опорами. В опциях, на случай необходимости, имеется комплект монтажа в стандартные серверные стойки.
Топология
ИБП работает по технологии двойного преобразования (Online), обеспечивая на выходе чистую синусоиду для наиболее требовательного к качеству входной линии оборудования.
Отличительные особенности модели
Для удобства работы производителем предусмотрен следующий набор возможностей:
- холодный старт
- совместимость с генераторами
- многоразовый автоматический выключатель
- кондиционирование электропитания
- регулировка частоты и напряжения
- автоматическая самодиагностика
- заменяемые пользователем батареи
- уведомление о прогнозируемых отказах
- внешние батареи, подключаемые по принципу Plug-and-Play
- зарядка батарей с применением температурной компенсации
- замена батарей во время работы ИБП
- прошивка, обновляемая через флеш-память
- уведомление об отказе батареи
- экономичный режим
графический ЖК-дисплей- управление через локальную сеть и последовательный порт
- разъем SmartSlot
- совместимость с InfraStruXure Manager
Технические характеристики
Для подключения к сети электропитания имеется жесткий ввод Hard Wire 3 wire (1PH+N+G). Остальные входные данные такие:
- номинальное напряжение — 230 В
- частота — 40–70 Гц (автоматическое определение)
- диапазон напряжения при работе от сети — 160 — 275 В
- устанавливаемый диапазон входного напряжения — 100 — 275 В
Характеристики на выходе ИБП:
- мощность — 10000 Ватт / 10000 ВА
- номинальное напряжение — 230 В
- частота, синхронизированная с электросетью — 50/60 Гц +/- 3 Гц
- тип формы напряжения — синусоидальный сигнал
В плане выходной защиты имеется:
- (6) IEC 320 C13 (Батарейное резервное питание)
- (4) IEC 320 C19 (Батарейное резервное питание)
- (3) IEC Jumpers (Батарейное резервное питание)
- (1) Hard Wire 3-wire (H N + G) (Батарейное резервное питание)
Стандартно идет набор коммуникационных портов RJ-45 10/100 Base-T, RJ-45 Serial, USB, а так же Smart-Slot для установки опционально карт расширения. Для интеграции с системой аварийного отключения (EPO) предусмотрены контакты на тыльной стороне ИБП.
Батарейное резервирование
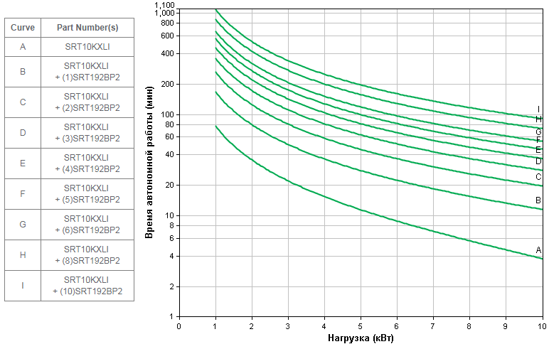
SRT10KXLI имеет два сменных аккумуляторных картриджа — APCRBC140. Тип батареи — необслуживаемая герметичная свинцово-кислотная с загущенным электролитом и защитой от утечек. В качестве опции поддерживается подключение внешней батареи SRT192BP2. Время автономной работы в зависимости от нагрузки представим графиком ниже.

Физические размеры
Суммарные габариты «высота x ширина x глубина» — 432 x 263 x 715 мм.
Smart-UPS On-Line SRT10KXLI — это источник бесперебойного электропитания от компании APC by Schneider Electric, способный обеспечить высококачественную защиту требовательной по входу нагрузки. Большое количество идущих в комплекте опций дополнительно защищает инфраструктуру от незапланированных простоев и обеспечивает удобство работы с ИБП. Если вы ищете именно такое решение — обращайтесь!
графический ЖК-дисплей