Технические эксперты подберут оптимальное решение под ваши задачи. Обращайтесь! Телефон: +7-495-514-00-10 E-mail: info@compuway.ru

Форм-фактор
Smart-UPS SUA1000RMI1U — это источник бесперебойного электропитания высотой 1U, предназначенный для установки в стандартные серверные стойки.
Топология
ИБП работает по линейно-интерактивной технологии (line-interactive), обеспечивая стабилизацию напряжения на выходе за счет наличия автоматического регулятора напряжения (AVR), частота при этом не изменяется.
Отличительные особенности модели
Для удобства работы производителем предусмотрен следующий набор возможностей:
- зарядка батарей с применением температурной компенсации
- уведомление об отказе батареи
- заменяемые пользователем батареи
- разъем SmartSlot
- кондиционирование электропитания
- настраиваемые пороги напряжения
- автоматическая самодиагностика
- управление ИБП через USB и локальную сеть
- многоразовый автоматический выключатель

Технические характеристики
Для подключения к сети электропитания имеется разъем IEC-320 C14. Остальные входные данные такие:
- номинальное напряжение — 230 В
- частота — 50/60 Гц ± 3 Гц (автоматическое определение)
- диапазон напряжения при работе от сети — 160 — 286 В
- устанавливаемый диапазон входного напряжения — 151 — 302 В
Характеристики на выходе ИБП:
- мощность — 640 Ватт / 1000 ВА
- номинальное напряжение — 230 В
- частота, синхронизированная с электросетью — 50/60 Гц +/- 3 Гц
- тип формы напряжения — синусоидальный сигнал
В плане выходной защиты имеется:
- (4) IEC 320 C13 (Батарейное резервное питание)
- (2) IEC Jumpers (Батарейное резервное питание)
Стандартно идет набор коммуникационных портов Serial DB-9, USB, а так же Smart-Slot для установки опционально карт расширения.
Батарейное резервирование
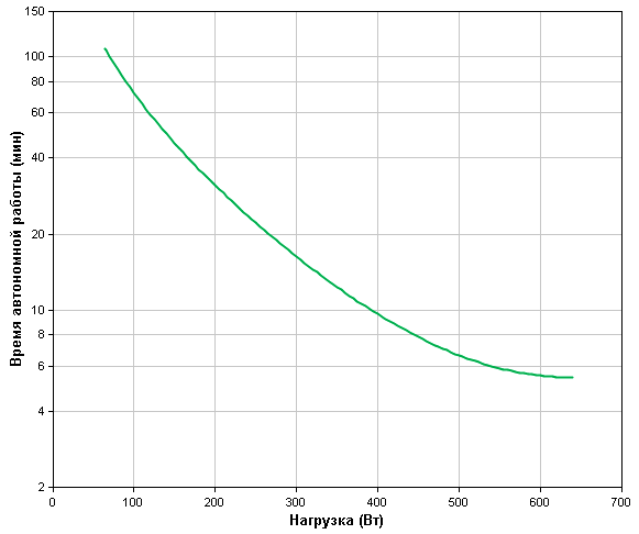
SUA1000RMI1U имеет один сменный аккумуляторный картридж — RBC34. Тип батареи — необслуживаемая герметичная свинцово-кислотная с загущенным электролитом и защитой от утечек. Время автономной работы в зависимости от нагрузки представим графиком ниже.

Физические параметры
Суммарные габариты «высота x ширина x глубина» — 44 x 432 x 660 мм. Высота в стойке — 1U. Масса нетто — 21.82 кг.
Smart-UPS SUA1000RMI1U— это недорогой, но качественный источник бесперебойного электропитания от компании APC by Schneider Electric, выполненный в компактном корпусе. Если вы подбираете именно такое решение — обращайтесь!